FotobusAutobusų transportas

Nuotraukos informacija

396 KB


Nuotraukos identifikatorius:3547685
Bylos dydis:396 KB
Autorius:olegp
Publikuota:14.04.2025 21:05 MSK
Yra tinklapyje dienų:297
Unikalių peržiūrų:158
Komentarų:0

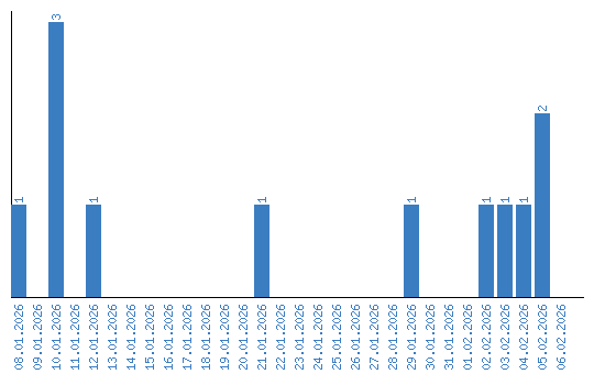
Peržiūrų dinamika pagal dienas