FotobusAutobusová doprava

Statistika obrázku

540 kB


Identifikátor obrázku:3634315
Velikost souboru:540 kB
Autor:Денис Рогов
Zveřejněno:31.07.2025 18:19 MSK
Nachází se na stránkách (dní):246
Jednotlivých zhlédnutí:172
Komentářů:0

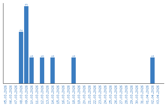
Zhlédnutí po jednotlivých dnech