ФотобусАвтобусный транспорт

Информация об изображении

209 КБ


Идентификатор изображения:383406
Размер файла:209 КБ
Автор:DVkor
Опубликовано:09.01.2011 10:04 MSK
Находится на сайте, дней:5507
Уникальных просмотров:332
Комментариев:0

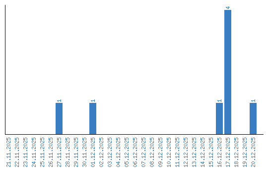
Динамика просмотров по датам