FotobusΜεταφορά με λεωφορείο

Picture Statistics

231 KB


Picture ID:416518
File Size:231 KB
Συγγραφέας:Sticky
Publication Date:09.03.2011 23:59 MSK
Days in Database:5338
Unique views:591
Comments:0

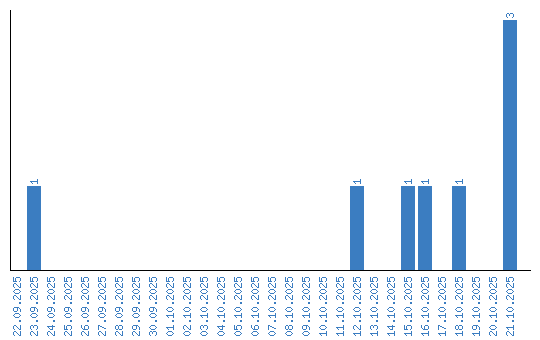
Viewing statistics by date