ФотобусАвтобусный транспорт

Информация об изображении

223 КБ


Идентификатор изображения:498959
Размер файла:223 КБ
Автор:Роговиков Николай
Опубликовано:27.07.2011 01:08 MSK
Находится на сайте, дней:5320
Уникальных просмотров:384
Комментариев:0

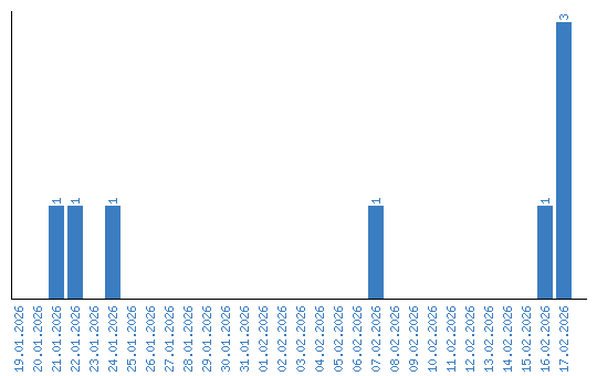
Динамика просмотров по датам