ФотобусАвтобусный транспорт

Информация об изображении

241 КБ


Идентификатор изображения:522892
Размер файла:241 КБ
Автор:Кирилл путешественник
Опубликовано:09.09.2011 11:51 MSK
Находится на сайте, дней:5276
Уникальных просмотров:392
Комментариев:1

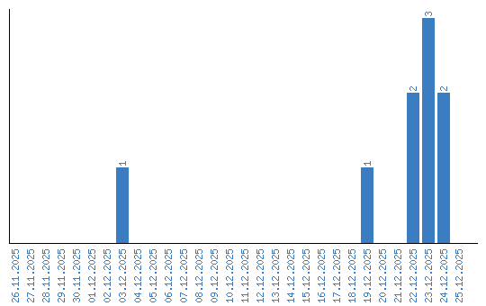
Динамика просмотров по датам