ФотобусАвтобусный транспорт

Информация об изображении

249 КБ


Идентификатор изображения:58816
Размер файла:249 КБ
Автор:Niclas
Опубликовано:04.12.2008 22:06 MSK
Находится на сайте, дней:6328
Уникальных просмотров:1273
Комментариев:23

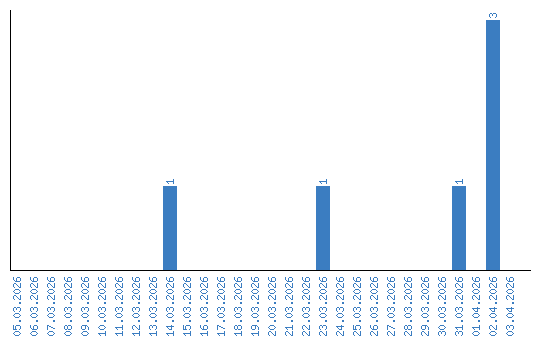
Динамика просмотров по датам