ФотобусАвтобусный транспорт

Информация об изображении

281 КБ


Идентификатор изображения:635956
Размер файла:281 КБ
Автор:emercome19
Опубликовано:04.04.2012 13:17 MSK
Находится на сайте, дней:4932
Уникальных просмотров:232
Комментариев:0

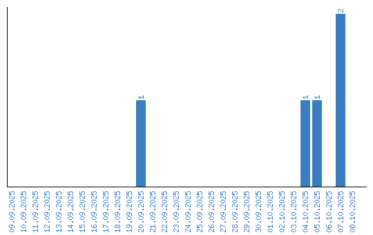
Динамика просмотров по датам