FotobusAutobusová doprava

Statistika obrázku

219 kB


Identifikátor obrázku:682928
Velikost souboru:219 kB
Autor:aRa
Zveřejněno:15.06.2012 20:45 MSK
Nachází se na stránkách (dní):5049
Jednotlivých zhlédnutí:219
Komentářů:0

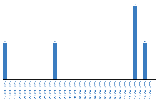
Zhlédnutí po jednotlivých dnech