ФотобусАвтобустар галереясы

Информация об изображении

342 КБ


Идентификатор изображения:774841
Размер файла:342 КБ
Автор:NP
Опубликовано:02.11.2012 17:11 MSK
Находится на сайте, дней:4798
Уникальных просмотров:225
Комментариев:0

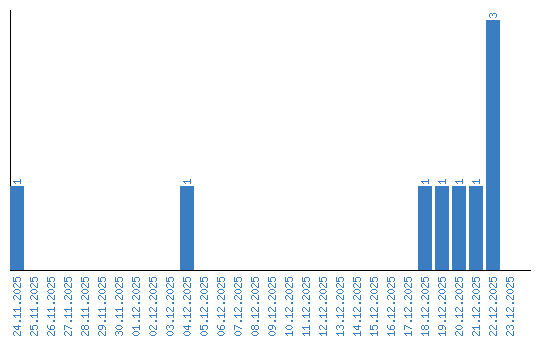
Динамика просмотров по датам