ФотабусАўтобусны транспарт

Iнфармацыя аб малюнку

268 КБ


Ідэнтыфікатар малюнка:823288
Памер файла:268 КБ
Аўтар:tavalex2007
Апублікавана:04.02.2013 09:35 MSK
Знаходзіцца на сайце, дзён:4699
Унікальных праглядаў:402
Каментарыяў:0

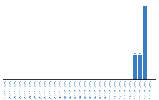
Дынаміка праглядаў па датах