FotobusAutobusová doprava

Statistika obrázku

341 kB


Identifikátor obrázku:866863
Velikost souboru:341 kB
Autor:Palmer
Zveřejněno:18.04.2013 09:40 MSK
Nachází se na stránkách (dní):4630
Jednotlivých zhlédnutí:273
Komentářů:1

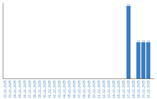
Zhlédnutí po jednotlivých dnech