ФотобусАвтобусний транспорт

Статистика по зображенню

327 КБ


Ідентифікатор зображення:926805
Розмір файлу:327 КБ
Автор:Alenov
Опубліковано:18.07.2013 21:21 MSK
Знаходиться на сайті, днів:4562
Унікальних переглядів:381
Коментарів:0

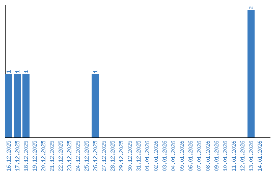
Динаміка переглядів за датами