ФотабусАўтобусны транспарт

Iнфармацыя аб малюнку

330 КБ


Ідэнтыфікатар малюнка:927404
Памер файла:330 КБ
Аўтар:ИА.
Апублікавана:19.07.2013 20:49 MSK
Знаходзіцца на сайце, дзён:4585
Унікальных праглядаў:387
Каментарыяў:1

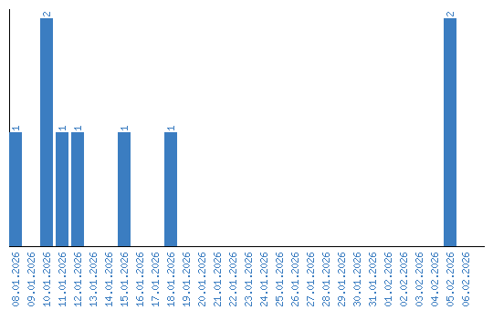
Дынаміка праглядаў па датах