ФотобусАвтобусный транспорт

Информация об изображении

283 КБ


Идентификатор изображения:953585
Размер файла:283 КБ
Автор:DVkor
Опубликовано:26.08.2013 16:29 MSK
Находится на сайте, дней:4602
Уникальных просмотров:231
Комментариев:0

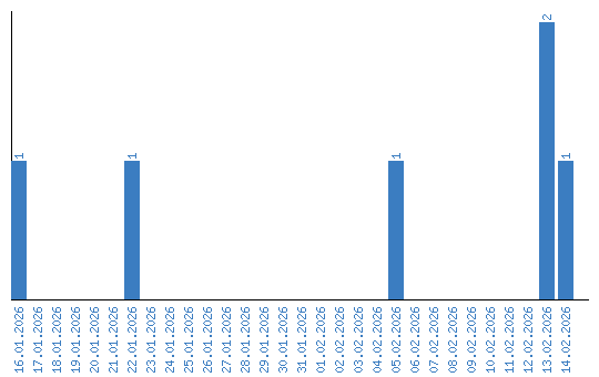
Динамика просмотров по датам